【摘要】三角函数是一类属于初等函数的超越函数,其本质是任意角的集合与一个比值(实数)之间的映射,通常的三角函数是在平面直角坐标系中定义的,且整个实数域为其定义域,也可定义在直角三角形中(仅适用于锐角).三角函数主要包括正弦函数、余弦函数、正切函数和余切函数.而导数对探究函数问题有重要作用,运用导数法求解三角函数有简洁解题过程、清晰的思维路径的作用.本文系统归纳运用导数法解三角函数问题的几种类型,并分析对应的解题思路,以便帮助学生总结解题经验,提高正确率.
【摘要】在高中数学解题的过程中,转化思想能够有效将复杂的问题简单化、抽象的问题直观化.但是在这一思想的应用上,许多学生仍未形成全面清晰的认识,基于此,本文结合不同类型的数学题,对这一思想的应用方法展开探究,力求帮助学生提高解题效率.
【摘要】分层抽样是高中数学统计中的抽样方法之一,其均值与方差是教材中新增内容之一,所以该知识值得重视,题型也应引起重视.本文就分层抽样中的均值与方差问题展开讨论,梳理题型,总结解题方法.
【摘要】在高中数学教学中,函数零点问题较为常见.函数零点问题可以划分为求函数零点的值、求函数零点的个数、函数零点大小比较及确定参数取值范围等问题.本文依托具体例题,帮助学生更好地探析函数零点问题,构造清晰的思维架构,提升解题的效率和准确度.
【摘要】函数单调性是高中数学的核心内容,在分析函数性质和解题中起着重要作用.本文基于典型例题,探讨单调性在比较大小、求极值及解不等式问题中的应用,归纳解题思路与技巧,为学生学习和教师教学提供有效参考.
【摘要】概率与统计是数学的重要分支,在科学研究和实际问题解决中应用广泛.概率理论聚焦随机现象的规律性,通过概率分布描述事件发生的可能性;统计学则借助样本数据分析推断总体特征,助力理解数据规律与趋势.随着信息技术和大数据的发展,二者在社会、经济、教育等领域的应用愈发深入,成为决策与评估的关键工具.本文结合例题探讨概率与统计的基本概念、变式及应用,帮助读者理解其现实意义与价值.
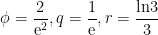
【摘要】椭圆是中职数学的重要知识,也是必考知识.在对椭圆的考查中,题型灵活多变,主要涉及椭圆的定义、椭圆的性质,以及直线与椭圆的位置关系等.本文就椭圆中的焦点三角形问题展开探究,具体针对焦点三角形的面积求法进行例谈,并分析答题方法与技巧.
【摘要】本文探讨基于数学模型的高中数学实际问题解决策略,通过阐述数学模型在高中数学中的重要性,结合具体实例分析如何构建和运用数学模型解决实际问题,包括函数模型、数列模型、几何模型等,旨在提高学生运用数学知识解决实际问题的能力,培养学生的数学核心素养.
【摘要】直线与圆锥曲线的位置关系是中职数学考查的重要题型,其中直线与双曲线相交的位置关系中,弦长问题是值得关注的,主要是直线与双曲线相交中,涉及直线与双曲线同支的相交和异支的相交,情况相对来说比较复杂.本文主要针对中职数学中直线与双曲线相交时的弦长问题展开讨论,并提出解题策略和技巧.
【摘要】本文以“基本不等式”为例,探讨基于思维进阶的高中数学习题教学策略.通过分析学生在学习基本不等式过程中的思维层次,结合具体习题实例,阐述如何设计有针对性的习题教学环节,引导学生从基础理解逐步过渡到灵活应用与创新思维,旨在提升学生的数学思维能力和解题素养,为高中数学习题教学提供有益的参考和实践指导.
【摘要】本文深入探讨直线与圆锥曲线位置关系的解题思路,借助点差法、化归思想、数形结合思想,系统地分析如何有效求解此类问题.旨在帮助学生全面理解并掌握相关知识与技巧,从而提升解题能力和数学素养.
【摘要】本文聚焦于高阶思维视角下的高中数学习题教学,以“指数函数”为具体案例,探讨如何通过精心设计的习题教学促进学生高阶思维的发展.通过分析学生在学习过程中的思维需求,阐述在习题教学中融入批判性思维、创造性思维和问题解决能力培养的策略,旨在为高中数学教学提供有益的参考,提升学生的数学综合素养和思维品质.
【摘要】本文系统探讨了在解决含参导数问题时两种核心策略(分离参数法与分类讨论法)的理论基础、适用条件、操作步骤、优势局限以及协同应用.通过典型例题解析,阐明分离参数法通过变更主元简化问题结构的本质,以及分类讨论法处理参数变化导致函数性质突变的必要性,研究强调,两种方法并非孤立,常需结合使用以达到高效解题的目的.本文旨在为学习者提供清晰的解题思路和有效的分析方法.
【摘要】随着新高考政策的颁布与实施,高考命题越来越注重学生核心素养的考查.其中对于有关函数知识内容的考查,已经不再局限于单一考查函数零点、单调性等,而是从单一知识内容向多种知识相互融合的方向发生转变,从学科固定知识向拓展“新定义”方向发展.这对于教师与学生都是极大的挑战.本文列举一道有关函数“凹凸”性新定义与不等式证明题目,帮助学生创新发展思维方式,在学习过程中注重考查学生的知识掌握程度,更强调其综合运用能力和创新思维能力.
【摘要】通过导数证明不等式问题是高考命题的一大热点,试题难度往往较大.本文列举一道有关利用导数证明不等式的试题,其中关键则是需要利用同构法,通过等价变形使得等号两边式子结构相同,进而辅助解题,期望能够为学生在解决本类题目时提供参考,帮助学生掌握必要的数学解题思路.
【摘要】用多种方法解答同一道数学题,不仅能更牢固地掌握和运用所学知识,而且,通过一题多解,分析比较、寻找解题的最佳途径和方法,能够培养创造性思维能力.多做一些一题多解的练习题,对巩固知识、增强解题能力、提高学习成绩大有益处.本文通过对一道向量典例的解法分析,对多角度解题进行了探索.
【摘要】本文探讨深度学习视角下高中数学的“一题多解”在培养学生数学思维、提升学习效果方面的重要意义与实践应用,通过阐述深度学习理论,分析“一题多解”对知识深度理解、思维拓展的作用,结合具体教学案例呈现多种解法的引导策略,旨在为高中数学教学提供有益参考,助力学生数学核心素养的形成.
【摘要】利用导数证明不等式问题既是高考命题的一大热点,更是一大难点,学生往往在处理等式问题时“如鱼得水”,但在面对不等式问题时就显得“寸步难行”不等式中还蕴含着一类双变量问题,其难度更是层层递进.这类双变量类型题目的解题策略即为分析变量关系,将“双”转“单”,难点也在于此,其转化方法有换元法、变更主元法、放缩法.本文列举一道有关利用换元法证明的题目,期望能够帮助学生掌握“双”转“单”的换元方法,起到“抛砖引玉”的作用.
【摘要】对近年高考多选题和各地模拟题的分类研究,数学多项选择题可以从数学认知结构和命题形式两种角度进行分类研究,从而实现教学功能定位.
【摘要】本文通过对一道高三数学模拟题的深度思考,依据常见的原子堆积模型对数学中的球与球相切的问题进行深度探析,建立数学模型,还原数学本质,精选教学案例,实现学生思维升华,从而提升学生数学建模能力和空间直观想象力.
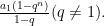
【摘要】数列问题可大致分为两类,一类是与数列通项公式有关的问题,另一类则是和数列前n 项和有关的不同形式问题.数列求和问题有多种不同的解法和思路,熟练掌并准确运用常见解法有助于学生提高解答数列问题的效率与准确度.本文主要对三种常见的解决数列求和问题的方法进行分析和应用,旨在帮助学生掌握数列求和问题的解法,从而深刻理解数列内容.
【摘要】本文聚焦2022年高考全国卷中的三道比较大小试题,从“深挖教材,固本强基”“少慢精深,诀窍可行”“稳中求变,提升素养”三个方面剖析每道题的多元解法,达到化难为易的解题效果.
【摘要】“抛物线及其标准方程”是高中数学的重要内容之一.本文以具体习题为例,探讨高中数学中“抛物线及其标准方程”相关习题的解题方法,对典型题目进行分析,促进学生更好地理解抛物线的定义、标准方程及几何性质,提高解题能力.
【摘要】三角函数最值问题是高中数学的重要内容,在高考及各类数学竞赛中频繁出现.本文通过对三角函数最值问题进行系统分类,结合典型例题详细阐述其求解方法,包括利用辅助角公式、换元法、基本不等式法、数形结合法和判别式法等,旨在帮助学生掌握此类问题的解题技巧,提高数学思维能力与解题效率.
【摘要】不等式是一类比较特殊的知识,虽然学生在小学时期就有所接触,又经过初中阶段的学习,但是步入高中以后,不等式知识的应用范围更加广泛,涉及的题型复杂多变,部分试题难度较大,对解题水平有着较高要求.在高中数学教学中,教师可围绕不等式试题开展专题训练,向学生传授一些常用的解题方法,帮助他们掌握更多解答不等式试题的技巧.本文结合实例,对高中数学中不等式试题的解题方法进行探讨.
【摘要】函数单调性是高中数学函数部分的重要性质,在解决各类数学问题中有着广泛的应用.本文通过具体实例,深入探讨如何巧妙运用函数单调性求解高中数学中的参数范围、解不等式、新定义等类型问题,旨在帮助学生更好地理解和运用函数单调性这一有力工具,提升数学解题能力.
【摘要】高中数学中的数列难题,常让学生陷入解题困境.而“四度六步”教学法是攻克这类问题的有效办法,它以系统的教学步骤,帮助学生理解数列知识、掌握解题方法.本文探究运用此教学法巧解数列难题,这对提高高中数学教学质量、培养学生数学素养十分关键.
【摘要】高中数学数列求和问题是数学教学中的重要内容,对学生的逻辑思维能力和问题解决能力有着重要影响.本文探讨高中数学数列求和问题的解题技巧,包括错位相减法、裂项相消法及倒序相加法等,旨在帮助学生灵活运用这些方法解决数列求和问题.同时,还研究数列求和问题的教学策略以及通过练习巩固教学效果等方式,提升数列教学的有效性.
【摘要】立体几何是高中数学的重要内容,在培养学生空间想象能力、逻辑思维能力等方面发挥着关键作用.本文旨在深入探讨高中数学立体几何问题的解题技巧,通过对具体案例的分析,帮助学生更好地掌握立体几何知识,提高解题能力,为高中数学教学和学习提供有益的参考.
【摘要】本文聚焦直线与圆中的存在性问题,通过深入剖析确定点的个数、寻找直线的存在及判断圆的存在这三类典型问题的解题思路,旨在帮助学生掌握此类问题的解题技巧,提升在直线与圆相关知识板块的解题能力.
【摘要】求解点到平面的距离问题时,可以采用等体积法和空间向量法.教学中建议梳理方法思路,再结合实例开展解题指导,引导学生深刻理解解题方法并灵活运用.本文分“方法讲解”“解题指导”两大模块设计流程,与读者交流.
【摘要】立体几何作为高中数学的重要组成部分,其试题主要是考查学生的空间想象能力与逻辑推理能力.学生需灵活掌握各种几何定理与性质,其中平行与垂直是立体几何中基础且重要的内容.在解决立体几何中的平行与垂直问题时,学生需要面对复杂的空间结构和多变的题目内容,为此,本文聚焦立体几何中平面与垂直相关试题,分析其具体解题步骤与思路.
【摘要】在求解圆锥曲线试题时,常常遇到電形諾 電或樂 λx1+μx2 等结构的式子,此时 x1,x2 的系数不同,不能直接使用韦达定理,这类问题称为“非对称问题”.本文主要从三个角度给出圆锥曲线中“非对称问题”的解题策略.
【摘要】本文从跨学科视角出发,通过对三道高中数学典型例题的深度剖析,展示数学与物理、计算机科学、经济学等学科的紧密联系,旨在揭示跨学科思维在高中数学学习和解题中的重要性,帮助学生拓宽思维视野,提升数学综合素养及解决实际问题的能力.
【摘要】《普通高中数学课程标准(2017年版2020年修订)》明确提出加大跨学科知识融合的考查力度,这在近几年新高考中有所体现.为了突破跨学科知识融合题型,本文以北师大版高中数学为研究背景,梳理总结高中数学与其他知识融合的各种题型,其中比较常见的是与物理、化学、生物三大学科融合的题型,具体以例题形式探讨这类题型教学模式的构建.
【摘要】数学是一门较为复杂的学科,不仅涉及了较多理论知识,还包含着不少经典的数学思想.这些思想方法既是学习数学知识的有效助力,同时也能够运用到解题实践中,成为解题的一类特殊工具.在高中数学解题训练中,除了保证学生具备牢固的理论知识外,教师还要指导他们学会在解题中巧妙使用一些数学思想,使其据此优化解题思路,提高解题效率.本文主要以数学思想在高中数学解题训练中的巧妙运用为研究对象,并罗列部分案例.
【摘要】平面向量作为高中数学知识体系的重要组成部分,具有代数与几何的双重属性,在高考数学中占据着重要地位.本文通过对历年高考真题的深入研究,系统地对平面向量在高考中的常见应用进行分类例析,包括证明几何关系、求解夹角问题、求解几何最值等方面的应用,旨在帮助学生清晰把握平面向量的应用规律,提升解题能力,为高考数学备考提供有力支持.
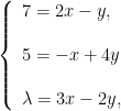
【摘要】在解决数学问题的过程中,巧用方程进行铺路,常常能够化难为易、指点迷津,使得复杂问题变得简单、迷茫的情境变得清晰.
【摘要】高中数学课程标准是数学教材的编写、高中数学教学活动的展开,以及高考数学命题的重要依据.基于SEC模式对2024年全国新课标I卷数学与《普通高中数学课程标准(2017年版2020年修订)》进行一致性分析,结果显示:新课标I卷与课程标准的契合度虽在一定程度上得到体现,但尚未达到统计学上的显著一致性.目前,新课标I卷在知识考查的广度与深度上呈现出不均衡的现象,这要求我们在未来的命题中,必须更加注重考试内容的均衡性,以确保对各个知识点的全面覆盖和公平评估.
【摘要】本文从问题驱动的理论依据入手,结合高中数学教学实践,探讨问题驱动在概念教学中的意义、实施原则以及多元实践策略,并辅以具体教学实例说明问题驱动对学生数学思维培养的积极影响,旨在为一线高中数学教师提供可操作、可推广的概念教学思路与参考路径,进一步提升学生的探究能力与自主学习能力.
【摘要】基于大单元框架的高中数学多元合作学习模式构建研究,致力于探索整合数学知识体系、核心素养与合作学习机制的教学路径.研究深入剖析大单元教学的理论精髓及其与数学学科特性的融合点,阐明多元合作学习在激发学习潜能、促进深度理解方面的重要作用.本文聚焦于以数学大概念为统领的单元整体设计、核心素养目标导向的合作任务链创设、支撑性教学资源与环境的建设,以及融合过程性与发展性的多元评价体系优化等关键环节,旨在构建一种能够有效提升学生数学思维品质、合作探究能力与问题解决能力的教学模式,为高中数学教育的内涵式发展提供实践参照与理论支撑.
【摘要】高中数学因其抽象性和逻辑性的特点,常令不少学生感到困扰.传统的讲授式教学往往难以调动学生的学习兴趣,尤其是在处理复杂问题时容易陷入僵局.思维导图作为一种可视化思考工具,能够有效地整理知识点结构,激发联想,促进人脑理解和记忆,被广泛认为是一种提升学习效率的有效手段.因此,将思维导图应用于高中数学教学,构建高效的课堂模式,对于提高教学质量具有重要意义.本文聚焦思维导图在高中数学教学中的应用,探讨其如何助力构建高效课堂.阐述思维导图在知识体系建构、学习计划制定、解题方式规划、课程复习,以及教学评价延伸等方面的作用.
【摘要】本文主要围绕如何在新课标背景下提升高中数学课堂教学效率展开探讨.分析《普通高中数学课程标准(2017年版2020年修订)》对数学核心素养培养及跨学科整合的新要求,并结合高中阶段数学教学抽象性陡增、应用性强化等特点,揭示当前教学中存在的核心素养培养空心化与课程整合夹生化两大问题.并针对性地提出几点改进建议.本文提出需通过教学流程再造、教师专业发展支持及评价体系改革等系统举措,旨在实现知识传授向素养培育的本质转型,为新课标落地提供实践参考.
【摘要】本文探讨多媒体技术在高中数学大单元教学中的深度融合实践,旨在通过动态演示、互动工具、3D建模和数据分析等多媒体技术的应用,提升学生对复杂数学概念的理解和兴趣.研究介绍多媒体技术在课堂展示与直观教学中的应用,包括通过动画展示函数变化、利用互动工具构建交互式学习环境,以及多元化作业设计的具体实践案例.与此同时,研究分析教学中存在的问题,如教师多媒体素养不足、学生过度依赖技术等,并提出相应的应对策略.研究表明,融合多媒体技术的数学教学不仅能提高课堂效率,还能为未来教育信息化和新兴技术(如人工智能、虚拟现实)在教学中的应用提供借鉴和展望.
【摘要】从培养核心素养视角出发,为了让“双减”政策真正落地生根,本文以“数列的通项公式”专题复习课设计为例,主要运用“概念型变式”“解题型变式”探索变式教学在高中数学教学中的实际应用,探寻教学内容结构化及复习课堂高效性的策略.
【摘要】在新课改背景下,高中数学课程的实施,更加注重培养学生解决问题的能力.高中数学教师应当认识到教会学生应用数学思想解题的现实意义,基于新课改理念,创新将数学思想在高中解题中渗透的策略,鼓励学生养成独立思考、积极探索的习惯,助力学生学会学习.本文对新课改背景下数学思想在高中解题中的渗透策略进行较为详细的阐述与说明.
【摘要】高中数学教学中,数学建模在培养学生问题解决能力方面扮演着核心角色.通过构建闭环结构,学生从认识问题到抽象数学概念,再到标准化表述与评价,最终回归现象本质.此过程能强化学生抽象与简化能力,夯实数学基础,并促进其创新思维和实践能力的发展.教师引导学生经历从具象到抽象认知、构建数学模型、再回归问题本质的循环,有效提升学生数学问题解决能力.
【摘要】数学教师作为高中数学教学的第一责任人,不仅要正视数学学习给学生带来的压力,还要从深度学习的角度分析,提升数学教学的实效.本文以深度学习视角下的高中数学教学为切入点,在阐述高中数学教学优化要求的基础上,从教学资源整合、新旧知识关联、教学结构构建、问题链条设计、教学技术融合等角度,提出高中数学深度学习的教学策略.
【摘要】本文围绕高中数学教学中分层教学模式的实施与效果展开研究.首先,阐述基于数学核心素养差异进行教学内容分层,以“函数的单调性”为例说明不同素养模块的学习任务;其次,依据学生兴趣特点进行教学方法分层,如实验探究法与情境驱动讨论法;再次,基于能力水平对课后作业进行分层,分为基础层、进阶层和拓展层;最后,探讨基于人工智能的个性化教学方法.经分析,分层教学在多方面取得良好效果,能提升学生学习兴趣、能力与效率.
【摘要】数形结合思想是高中数学教学中具有重要价值的核心思想方法.通过数与形的相互转化,能够有效提升学生的几何直观、代数表达与综合建模能力,深化对数学本质的理解.为促进这一思想在课堂中的深入应用,应从教学理念更新、教学路径优化、资源整合与评价改革等方面多维推进,建立以数学思想为引领的教学模式.数形结合不仅是一种解题策略,更是培养学生逻辑思维、空间感知与抽象表达的重要工具,对于提升高中数学教学质量与学生核心素养具有长远意义.
【摘要】教材习题,作为教材内容中不可或缺的一环,不仅为课堂知识的巩固与深化搭建了坚实的桥梁,更为学生数学核心素养的培育提供了肥沃的土壤.然而,有些教师在教学实践中往往未能给予教材习题应有的重视与深入挖掘,导致其潜在价值被严重低估,设计的精妙意图也未能充分展现.本文特以“圆锥曲线的方程”章节为具体案例,通过一系列课堂实践的探索,如“构建大单元研学体系”深入探究“母题”“延伸问题情境”等,旨在开发教材习题的潜在效能,同时着重培养学生的高阶思维能力,为学生的数学核心素养插上腾飞的翅膀.
【摘要】新修订的《中华人民共和国职业教育法》提出“统筹推进职业教育与普通教育协调发展”,创设“符合职业教育特点的考试招生制度”,“职业教育”已发展成为与“普通教育”并重的教育类型.本文选取苏教版普通高中数学教材与苏教版职业学校文化课数学教材作为研究对象,基于“三会”的视角,对普通高中数学教材与中等职业学校数学教材进行比较分析.以正弦定理、余弦定理为具体案例,旨在揭示教材间的内在联系,并借鉴优质教学内容以应用于常规教学实践.本研究的目的是促进普通高中与中等职业教育之间的融通,关注学生在实践中的“三会”行为表现,以巩固和提升学生的数学核心素养.
【摘要】数学文化作为数学教学内容的重要组成部分,是连接数学知识与人文精神的桥梁,有助于激发学生学习兴趣,深化其对数学知识本质和逻辑体系的理解,提升其综合思维能力.本文聚焦数学文化融入高中数学课堂的策略,依托具体的实践案例,分别从数学文化融入课堂导入环节、数学文化融入授课环节出发,探究教师将数学文化融入课堂的理论与实践路径.
【摘要】本文主要围绕中职数学教学中数学文化融入的情况展开探讨,综合多项地区性的调查研究,并结合当前的教学实际,分析目前在中职数学教学中融入数学文化的问题.比如学生数学文化素养普遍较低,教师的数学文化渗透力度不足,导致学生对数学的兴趣和理解受限等.笔者通过参考多篇文献的观点并结合自身理解,针对这些问题提出几点具体的建议,比如丰富课堂内容、开展一些专题活动,或者按照性别分组,实施差异化教学等;同时还要加强教师的数学文化渗透能力.希望这些建议能提升学生的数学文化认知,增强学生数学学习的兴趣与积极性.
【摘要】高中数学教学如何在人工智能时代焕发新的生机,是摆在每一位数学教育工作者面前的时代命题.本文立足于教育现状,在梳理传统教学模式困境的基础上,提出一系列契合人工智能时代特点、聚焦学生数学素养培育的教学策略.这些策略着眼于理念更新、主客体关系重构、因材施教、数学生活化、智能技术赋能、多元评价促进等维度,力图为新时期高中数学教学变革提供思路,为培养具备扎实数学功底、开阔创新视野、善于学以致用的时代新人探索路径.
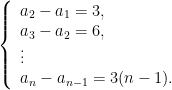
【摘要】数列递推关系是高中数学的重要内容之一,不仅在教学体系中占据核心地位,在解决实际问题中也展现出广泛的应用价值.本文深入剖析数列递推关系的数学本质与演变过程,探讨其在高考和实际问题建模中的巧妙运用.结合人教版高中数学教材内容,从分类讨论常见题型、结合其他数学工具、分析其建模能力等多个角度展开详细论述,并辅以典型实例说明.通过这样的探讨,旨在帮助学生全面理解递推关系的内涵及应用策略,培养其解决复杂问题的能力,为数学学习和综合能力提升提供有效支持.
【摘要】高中数学的六大核心素养既是教师教学的依据,也是学生学习数学的标准,在教学中对核心素养的达成和落实,以及评价都是研究热点.本文基于核心素养的高中数学公式教学策略展开研究,具体以湘教版“三角函数与三角恒等变换”为例展开讨论.
【摘要】数学抽象是数学学科的核心素养之一,它要求学生能够从具体的数学对象中抽取一般的数学规律和原理,并形成一定答题思想.在高中数学中,三角函数与三角恒等变换是理解和应用数学抽象的重要载体.本文以“三角函数与三角恒等变换”为例,探讨如何落实数学抽象核心素养,并进行相应的评价.
【摘要】本文聚焦于高中数学解题教学中对学生高阶思维能力的培养,以“等差数列求和”教学内容为切入点展开深入研究.通过阐述高阶思维能力的内涵及其在高中数学教学中的重要性,结合等差数列求和的教学实例,详细探讨如何在教学过程中培养学生的综合分析能力和创造能力等高阶思维能力,旨在为高中数学教学质量的提升及学生数学素养的发展提供有益参考.
【摘要】在当今教育改革的浪潮中,核心素养已成为教育领域的热点话题.核心素养强调学生应具备适应终身发展和社会发展的关键能力与必备品格.在高中数学教学中,如何通过课堂问题设计与转化,有效培养学生的数学核心素养,是每位教师面临的挑战.本文“函数的单调性”“利用导数研究含参函数的单调性”“三角函数”为例,探讨核心素养导向下高中数学课堂问题设计与转化的实施策略,旨在提高学生的数学核心素养.
【摘要】高中数学教学正经历从知识传授向核心素养培养的转型.这一过程中面临的挑战包括教学理念与实践的落差、教师专业发展不足、学生学习动机差异及教育资源不均等问题.为应对这些挑战,教学策略需结合探究式学习、多样化教学方法和全面评价体系,以促进学生数学思维和问题解决能力的提升.实践效果分析显示,学生核心素养有所提升,但需持续优化教学策略.展望未来,教学模式将更趋个性化,技术应用更广泛,评价体系更全面;教师角色将发生转变,跨学科整合将成为新趋势,这些变化将共同推动高中数学教育向更高层次发展.
【摘要】核心素养的培养是高中数学教育的重要目标,而单元整体教学则提供了实现这一目标的有效路径.通过明确单元主题、优化教学内容以及设计多样化教学活动,教师能够在教学中融入数学抽象、逻辑推理和数学建模等核心素养要素,促进学生深度学习和综合能力的提升.这种教学模式不仅能够强化学生对数学知识的系统理解,还能够提高学生解决实际问题的能力.同时,教师的教学设计与组织能力也在这一过程中得以提升.
【摘要】本文主要探讨在高中数学三角函数教学中,如何有效培养学生的数学思维能力.首先介绍数学思维能力的概念,分析其在三角函数学习中的作用.然后分析当前教学的现状,比如存在教师主导教学和对学生思维过程关注不足这两大问题.针对这些问题,提出三种主要策略,一是构建以学生为主体的探究式课堂,二是强化过程性评价与思维可视化,三是提供多样化的问题解决策略.通过这些方式,可以有效提升学生的数学思维能力,帮助学生在三角函数学习中形成更深层次的理解与应用能力.
【摘要】在高中数学学习期间,数学思维能力发挥着举足轻重的作用,有助于学生深刻理解数学概念,灵活运用多样的数学方法,高效解决各类难题.数学思维能力不仅能提升学生当下的数学学习成绩,从长远视角看,对学生未来的发展也意义重大.无论是后续从事理工科专业的深入学习,还是在日常生活中分析、处理复杂问题,都需要强大的数学思维作为基础.所以,探究培养高中学生数学思维能力的有效方法,对学生的未来成长和发展具有重要的现实意义.
【摘要】本文通过调查发现中职学生的数学学习态度与认知、方法与习惯、课堂互动与应对等方面均存在问题.究其原因,主要是因为学生数学基础薄弱与兴趣缺失、教学模式单调乏味、目标模糊动力不足等.要提升中职学生三角函数学学习动力,需要通过技术融合和直观教学、基础强化与深入浅出教学、任务驱动与合作学习、思想动员与应用结合激发学生兴趣.
【摘要】为了提升高中学生的数学自主学习能力,本文以高中数学教育为研究对象,采用情境教学、小组合作等方法,对学生自主学习能力的内涵、构成要素及培养路径展开研究.研究表明,自主学习能力涵盖学习动机、学习策略和自我监控等要素.通过创设情境激发学习兴趣、引导学生掌握学习方法、培养自主学习能力及开展合作学习等策略,学生在学习兴趣、学习方法、自主学习能力和合作学习等方面取得了进步,有效提高了学习效果,为未来发展奠定坚实基础.
【摘要】创新思维是现代社会发展的重要驱动力,培养学生的创新思维能力已成为教育界的重要课题.平面向量作为数学的基础知识,不仅在数学领域有着广泛的应用,更在培养学生创新思维方面发挥着重要作用.本文通过分析平面向量的特点,结合实际教学案例,探讨平面向量在培养学生创新思维中的作用,并提出有关教学上的一些想法.
【摘要】传统的数学教学更多的是依赖课本与黑板,教学方式较为单调,教学内容较为枯燥,而随着信息技术的迅猛发展,已然渗透到了生活的方方面面,中职教育也迎来了全新的教育机遇.信息技术融入教育教学,在极大程度上丰富了教学资源,教师可以充分利用信息技术,在教学的各方面进行创新改进,提高中职数学的教学效果.
【摘要】高中数学学科教学中实施思维可视化教学策略,能够将抽象的数学知识具象化呈现,降低学生对数学知识的理解和应用难度,提高学生学习数学知识的效果.高中数学教师可以从对接现实生活场景、整合信息教辅资源、组织操作实践活动、加强学法渗透指导、投放多元探究任务等角度入手,系统规划和精准施策数学课堂思维可视化教学模式,增强数学课堂教学引导性、生成性、综合性,打造高效化数学课堂教学体系.
【摘要】随着人工智能技术的快速发展,教育领域正经历着前所未有的变革.在AI智能时代背景下,高中数学课堂面临着新的机遇与挑战.本文旨在探讨如何构建适应时代发展的高中数学智慧课堂教学模式,以提升教学效率、培养学生的核心素养.首先点明高中数学利用AI构建智慧课堂的教学现状,分析AI对高中数学教学的影响,阐述智慧课堂的内涵与特征.同时,结合高中数学学科特点,构建以“数据驱动、精准教学、个性学习、智能评价”为核心的智慧课堂教学模式,并详细阐述该模式的实施路径.
【摘要】本文探讨在中职数学教学中利用DeepSeek辅助教学的策略和方法.通过分析中职数学教学现状和DeepSeek的功能特点,通过多维度研究,提出教师备课、学生预习、课堂教学、课后复习和个性化学习的应用策略.研究表明,DeepSeek能够有效提升教学效率、增强学生学习兴趣、促进个性化学习,并减轻教师负担.文章还探讨了实施过程中可能面临的挑战及应对策略,为深化中职数学教学改革提供新的思路.
【摘要】随着“三新”改革(新课程、新教材、新高考)的深入推进,高中数学教学逐步从知识灌输向素养导向的创新模式转型.本文结合AI技术的赋能作用,探讨斐波那契数列教学的创新路径,包括利用AI生成动态教学资源、实现个性化练习与即时反馈、构建沉浸式学习场景以及开展基于建模的实践活动.通过AI技术的深度应用,学生在递推公式理解、数列性质探究和实际问题解决等方面的学习效果显著提升,教学评价更具动态性和精准性.可为“三新”背景下高中数学教学的新样态构建提供借鉴.