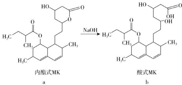
摘要:以红曲霉固态发酵体系为研究对象,探究乙酸盐对MonacolinK(MK)产量的影响,发现乙酸铵、乙酸钾和乙酸的添加均对红曲霉固态发酵MK的产量有促进作用,MK的产量分别提高到未添加乙酸盐时的1.52,1.24,1.14倍。 0.5% 乙酸铵对MK产量的促进作用最明显,MK产量为 30.24mg/g ,开环率为80% ,未检出桔霉素。低浓度的乙酸铵对红曲霉的生长有促进作用,乙酸铵的添加影响培养基最终pH值。pH值随着乙酸铵浓度的提高而逐渐升高,有利于部分内酯式MK转化为酸式MK,从而导致开环率提高,这些发现为利用红曲霉生产MK和开发具有功能性、保健性和安全性的红曲霉制品提供了重要参考。
摘要:探讨不同提取方式对梯棱羊肚菌提取液鲜味物质释放的影响,考察常压烹饪(atmospheric pressurecooking,APC)、高压烹饪(high pressure cooking,HPC)和木瓜蛋白酶(papain,PAP)、中性蛋白酶(neutralprotease,NP)、风味蛋白酶(flavourzyme,FP)、食用菌水解酶(edible fungi hydrolase,EFH)4种酶提取方式及超声辅助水解(ultrasound-assisted hydrolysis,UAH)对羊肚菌提取液中游离氨基酸含量、呈味核苷酸含量、等效鲜味浓度(equivalent umami concentration,EUC)、味觉活性值(taste activity value,TAV)和感官评分的影响。结果显示,不同提取方式在鲜味物质的释放上存在显著性差异 (P<0.05) ,酶解处理有利于游离氨基酸的释放,特别是鲜味氨基酸、甜味氨基酸,其中FP的效果最显著。UAH有利于 5′- 核苷酸的释放。FP与EFH都具有较高的EUC。FP样品较其他样品的感官评分高。总体来看,酶解处理在促进鲜味物质释放方面优于其他提取技术,特别是FP的效果最佳。该研究结果为羊肚菌增味剂的开发提供了理论依据。
摘要:花蛤水煮液作为食品加工中的副产物正逐渐被开发成调味料来改善食品的滋味。为了探究花蛤水煮液作为调味料加入鲫鱼汤中对其滋味的影响,该研究通过响应面优化实验得到鲫鱼汤的最佳熬制条件。在此条件下通过加入不同浓度的花蛤水煮液,从感官评价、HPLC-MS、味精当量等方面分析了不同浓度的花蛤水煮液对鲫鱼汤滋味特征的影响。结果表明,鲫鱼汤中添加花蛤水煮液后,其可溶性蛋白、游离氨基酸、核苷酸、有机酸的含量均有所增加,味精当量显著提高( P<0.05 ),提鲜效果明显,但鲫鱼汤的色度无显著变化( P>0.05) 。因此,添加花蛤水煮液可显著改善鲫鱼汤的感官特性,为其增加鲜味。其中花蛤水煮液浓度为 8% 时,鲫鱼汤中鲜味氨基酸含量、核苷酸含量、味精当量显著高于其他组,其协同增鲜效果最好,感官综合得分最高。预计该实验结果将指导花蛤水煮液配方的开发、创新以及营养汤的风味调节。
摘要:该研究旨在优化羊肚菌蛋白的复配酶解工艺,并深入探究其酶解产物的特性。具体而言,研究聚焦于复配蛋白酶对羊肚菌干粉中蛋白质的酶解效果,采用鲜味值和水解度作为评价指标。运用响应面法系统考察了酶解 pH 值、酶解时间、酶解温度3个因素对酶解效果的影响。研究结果显示,最佳酶解工艺为酶解 pH 值7.6、酶解时间 210min 、酶解温度53℃。在此条件下,水解度达到28.469%,鲜味值提升至22.7,与模型预测值相近。进一步分析酶解液的氨基酸组成,发现该酶解液中含有17种氨基酸,其中天冬氨酸和谷氨酸在总氨基酸中占据主导地位,而游离氨基酸中苏氨酸含量最高。此外,多肽的相对分子质量主要集中分布在 2kDa 以下,且分子量小于3kDa的酶解液具有最高的鲜味值。该研究结果可为羊肚菌蛋白的综合开发和利用提供一定的理论依据。
摘要:为探究粉碎度对改性蔗渣膳食纤维的结构及功能特性的影响,该研究以蔗渣膳食纤维(bagassedietary fiber,BDF)为原料,对其进行碱性过氧化氢改性,得到改性蔗渣膳食纤维(modified bagassedietary fiber,MBDF),随后进行不同强度的破碎以获得不同破碎度的MBDF,根据目数从小到大编号,由 MBDF-1至MBDF-4,未经改性的记为 BDF。从微观结构和功能特性两方面对这5组实验样品进行表征。研究结果表明,MBDF的比表面积随着粉碎度的增加而增加,其中MBDF-4的比表面积最大 (1.3852m2/g) ,较比表面积最小的 增加了 28.87% 。此外,在功能特性方面,MBDF的持水性和持油性随着粉碎度的增加呈先增大后减小的趋势,持水性和持油性最大的均为MBDF-3( 12.00g/g 和 7.19g/g) 。MBDF 的葡萄糖吸附能力随着粉碎度的增大呈现先增大后减小的趋势,其中MBDF-3在 20mmol/L(12.09g/g) 、35 mmol/L(19.67 g/g)和 50mmol/L(46.47g/g) 时分别有最大的葡萄糖吸附能力。MBDF的葡萄糖扩散延迟指数随着粉碎度的增加呈现先增大后减小的趋势,其中MBDF-3在 10,30,60min 时获得最大的葡萄糖扩散延迟指数。MBDF的胆盐吸附能力随着粉碎度的增加呈现先增大后减小的趋势,其中MBDF-3的胆盐吸附能力最大。MBDF-3在时间为 60min(204.45μg/g) 90min(213.71μg/g) 和 150min(294.74μg/g) 时分别达到最大的亚硝酸根离子吸附能力。综上所述,适当粉碎不仅可以保持MBDF结构的完整性,而且能提高其功能特性,但过度粉碎会对MBDF各种吸附能力产生不利影响,不利于其后续利用。
摘要:镜鲤是我国重要的淡水鱼资源,在其加工过程中会产生大量副产物,这些副产物若未得到有效利用,不仅可能引发环境污染问题,而且会导致鱼类资源利用率降低。该研究以镜鲤鱼骨为原料,以水解度和多肽得率为评价指标,对鱼骨蛋白肽酶解工艺进行优化,并对其抗氧化能力进行分析。结果表明,当料液比为 1:15.pH 为7、中性蛋白酶添加量为 4443U/g 、酶解温度为 44°C 、酶解时间为3h时,鱼骨蛋白肽水解度为 (26.37±0.56)% 。当鱼骨蛋白肽浓度为 12mg/mL 时,对DPPH自由基、羟自由基、超氧阴离子自由基和ABTS阳离子自由基的清除率分别为(80.32±2.06)%、(65.98±1.78)%、(62.83±2.01)%和(77.31±1.97)% 。综合分析,最优酶解工艺制备的镜鲤鱼骨蛋白肽具有较强的抗氧化能力,该研究为镜鲤鱼骨的高值化利用及鱼骨蛋白肽类抗氧化产品的研发提供了科学依据。
摘要:运用气相色谱-质谱法对市售的5种广式金标生抽和3种味极鲜酱油进行风味检测,并结合主要理化指标和感官评价进行综合分析。结果表明,8种酱油的可溶性无盐固形物含量、氨基酸态氮含量和全氮含量均达到国标对各自等级的相关要求,其中金标生抽的整体盐度较高,咸味和苦味明显,味极鲜酱油突出的鲜甜味与较高的氨基酸态氮含量有关。金标生抽的挥发性风味物质主要为醇类、酯类、醛类,约占风味物质总量的 75% ,味极鲜酱油的风味组成与金标生抽类似,醇类占比更高。差异性风味物质以醇类、酯类物质为主,包括乙醇、2,3-丁二醇、2-呋喃甲醇、异丁醇、2-甲基丁醇、苯甲酸乙酯、乙酸异戊酯等,均在味极鲜酱油中有较高含量,因而味极鲜酱油的醇香和花果香更突出。不同金标生抽间含量差异较大的酚类、吡嗪类、醛类等物质使其在烟熏香、烘焙香、麦芽香等方面较味极鲜酱油的感知更强。该研究对金标生抽和味极鲜酱油的风味组成特征进行了对比分析,为广式酱油的定向调控提供了理论依据。
摘要:该研究旨在分析中高温火腿肠在不同温度 (25,36,45°) )下贮藏的品质变化特征,建立货架期预测模型并推算临界贮藏温度。结果表明,随着贮藏时间的延长,火腿肠的挥发性盐基氮(TVB-N)值增加, pH 值逐渐下降,亮度降低,颜色向黄色转变,感官评分显著降低 (P<0.05) 。基于TVBN值、 pH 值和 b* 值建立的Arrhenius模型预测 25°C 下的货架期和误差分别为 179d(0.61%),112d(37.89%) 和 105d(41.78% ,而采用多变量加速货架期模型(MASLT)预测 25°C 下的货架期和误差为 200d(10.94% ,显示MASLT模型利用PCA整合多项指标具有更高的综合性和适用性。采用MASLT模型预测产品在 25~36°C 之间的货架期,当贮藏温度超过 28°C 时,产品的货架期将低于标示保质期 180d ,建议该产品在 及以下温度进行贮藏与销售。
摘要:将谷氨酸发酵与美拉德反应相结合,探索制备鲜味基料的可行性。首先以玉米淀粉酶解液为碳源进行谷氨酸发酵,获得谷氨酸含量为 23.0g/L 的发酵液,然后以谷氨酸发酵液为原料,在不同温度(85,100,115°C )和时间 (30,120min) 下进行美拉德反应。结果表明,高温长时间反应促进了美拉德反应中间产物的形成和褐变的发生。电子舌和感官评价表明 85°C 反应 120min 所得产物具有较好的呈味特性,鲜味、醇厚感、香味提高。美拉德反应后,游离氨基酸含量减少 9.33% ,吡嗪类物质含量从 83.41% 增加到94.13% ,且产物的DPPH自由基清除率、ABTS自由基清除率和还原力提高。在样品浓度为 5mg/mL 时,DPPH自由基清除率比谷氨酸发酵液提高了 59.3% ,还原力提高了 55.5% 。谷氨酸发酵和美拉德反应相结合可用于制备具有良好呈味特性和抗氧化性的鲜味基料。
摘要:以浊度、溶解度、表面疏水性、总疏基含量为指标,研究香港牡蛎(Crassostrea hongkongensis)肌原纤维蛋白热变性规律及其对肌肉质构特性的影响。结果表明,牡蛎肌原纤维蛋白热变性过程分为热展开变性和热聚集变性两个阶段,当温度为 47.5°C 时,表面疏水性达到最大值 46.35μg ,表明肌原纤维蛋白分子展开程度最大;当温度超过 50°C 时,肌原纤维蛋白开始发生显著的热聚集变性,表现为溶解度、表面疏水性和总疏基含量的急剧下降以及浊度的急剧上升。疏水相互作用和二硫键参与热聚集变性。肌原纤维蛋白热展开变性导致肌肉的失水率、硬度和咀嚼性最大,弹性和感官评分最低,而 80°C 下加热发生适宜的热聚集变性,能有效改善肌肉的质构特性,所得浸出液中蛋白质、总糖和氨基酸态氮的含量最高。
摘要:为研究不同乳酸菌接种发酵对竹笋发酵特性的影响,该研究选用戊糖乳杆菌SSO01和鼠李糖乳杆菌 SSO01分别进行接种,并以采用老水发酵的竹笋作为对照组进行比较。通过测定发酵过程中竹笋的 pH 值、总酸含量、有机酸含量、还原糖含量以及电子鼻气味成分和感官评分的变化,评估不同发酵方式对竹笋品质的影响。系统分析了3组发酵酸笋的发酵过程,重点比较了戊糖乳杆菌 SSO01与鼠李糖乳杆菌 SSOO1的表现。结果表明,戊糖乳杆菌SS001在发酵周期内的产酸能力和耐酸能力显著优于鼠李糖乳杆菌 SS001,使其在有机酸生成上更具有优势。戊糖乳杆菌 SS001发酵组的苹果酸含量、乳酸含量、乙酸含量和琥珀酸含量高于鼠李糖乳杆菌 SSOO1发酵组和老水发酵组,显著提升了酸笋的风味与口感。尽管鼠李糖乳杆菌 SSO01组在发酵初期的产酸能力较强,但在发酵后期未能保持优势,且其苹果酸和柠檬酸的含量较低。在气味成分方面,鼠李糖乳杆菌 SSO01组的芳香成分、氢化物和醇类物质生成较多,但整体感官评分仍低于戊糖乳杆菌 SSOOl组。综上所述,戊糖乳杆菌SSO01在发酵性能和感官品质方面表现优越,其在酸笋生产中具有广阔的应用前景。
摘要:在猪肉丸制作过程中以大豆分离蛋白、木薯淀粉替代脂肪或减少脂肪的添加量,使得产品形成咸鲜风味,提高沙蟹汁的应用价值。该研究以沙蟹汁添加量、肥膘添加量、木薯淀粉添加量、大豆分离蛋白添加量作为影响因素,采用单因素实验、正交实验和模糊数学法对沙蟹风味猪肉丸的配方进行研究。结果表明,以 70g 瘦肉为基准,添加沙蟹汁 2% 、肥膘 15% 、木薯淀粉 3% 、大豆分离蛋白 2% 制作的猪肉丸富有光泽、弹性、咀嚼性,其综合感官评分为89.6分,产品较传统肉丸减少了 10% 的脂肪添加量,且产品具有浓郁的沙蟹风味,为丰富猪肉丸的种类及含沙蟹汁产品的研发提供了参考和理论支持。
摘要:为提高白鲢鱼鱼糜中不饱和脂肪酸的含量和品质,该研究将冷冻白鲢鱼鱼糜作为实验原料,分别添加大豆油(soybean oil,SO)和预乳化大豆油(pre-emulsified soybean oil,PSO),分析不同添加量 SO和PSO对鱼糜持水性、蒸煮损失率、凝胶性能、感官品质、水分分布、油滴分布、微观结构等的影响。结果表明,添加SO会对持水性、蒸煮损失率、硬度、咀嚼性、凝胶强度等造成不良的影响,且SO添加量越多,所带来的不良影响越大。但PSO的加入可以提升鱼糜的品质,在 15% 的最适添加量下,鱼糜的持水性、硬度、咀嚼性和凝胶强度最大,分别为 80.11% 、(2 104.18±72.01) g,(1599,14±60,23) g和 409.20g?cm ;而蒸煮损失率最小,为 10.27% 。PSO的添加会提高鱼糜制品的白度值和色泽评分,且当PSO添加量为 15% 时,可以最大程度地提高鱼糜凝胶的组织状态评分。加入PSO后,鱼糜制品中自由水的比重下降,不易流动水的比重上升,且鱼糜制品可以保留更多水分。此外,适量的PSO能在改善后的鱼糜制品网络结构中均匀分布。
摘要:开发鱼肠新产品,探究添加 0%.2%.4%.6%.8%.10% 菊粉对巴沙鱼鱼糜蒸煮损失率、持水性、凝胶强度及鱼肠质构、色差等品质的影响。实验结果显示,添加 2%~4% 菊粉能够显著提高鱼糜的蒸煮得率、持水性、凝胶强度 (P<0.05) 。适量的菊粉可以提升鱼糜在加热过程中的稳定性,加工制备的鱼肠硬度提高,易于咀嚼,其弹性和胶黏性差异不显著。菊粉的添加可以提高鱼肠在加热过程中的抗氧化性,改善鱼糜和鱼肠的亮度值 (L? 值) P<0. 05) ,红度值( ?a* 值)与黄度值 (b? 值)差异不显著;菊粉的添加可以优化巴沙鱼鱼糜的整体感官特性,有助于提升鱼糜和鱼肠的品质,当添加 4% 菊粉时,其感官评分从60分提升到85分。因此,综合鱼糜和鱼肠的品质, 2%~4% 是鱼肠中较理想的菊粉添加量。在加工鱼肠过程中,可用菊粉替代部分油脂,既可降低鱼肠中脂肪含量,又有助于提升巴沙鱼鱼糜的加工品质,为开发低脂鱼肠提供了理论依据。
摘要:文章以紫米甜酒为主要原料,利用3种乳酸菌发酵制备紫米乳饮料,研究不同菌种配比和发酵工艺条件对饮料营养品质和风味的影响。考察脱脂牛乳液添加量、发酵时间、发酵温度、混菌接种量4个因素,以感官评分、还原糖含量、乳酸含量、花色苷含量为指标,最佳工艺参数:在菌种配比(植物乳杆菌:干酪乳杆菌:瑞士乳杆菌)为 1:1:1 的条件下,脱脂牛乳液添加量为 10% ,发酵时间为 36h ,发酵温度 34°C ,混菌接种量为 2.1% 。制备的紫米乳饮料乳酸含量为 9. 96g/L ,还原糖含量为 18.88g/100g ,花色苷含量为46.56mg/L ,感官评分为87.00分,综合评分为81.87分。饮料酸甜适中、口感细腻,紫米清香和乳酸风味协调,呈现均匀的紫红色。电子鼻检测结果表明,与对照相比,发酵样品对甲基类化合物、氮氧化合物、硫化物等传感器的响应值均增大,挥发性风味物质的种类和含量显著增加,且混菌发酵更突出,表明其风味表现更丰满。研究还表明,通过乳酸菌发酵,紫米乳饮料中的总酚含量、类黄酮含量均较对照显著提高,并且混菌发酵效果优于单一菌种发酵,花色苷保留率达 76.30% ,总酚含量、类黄酮含量分别达到0.96mg/mL 和 24.88mg/L. 。该研究结果为谷物发酵饮料的开发提供了理论和技术参考。
摘要:针对新疆地区杏资源丰富、加工利用率低开发的杏包仁产品在加工后贮藏期间易褐变的问题,开展了无硫护色技术及其工艺研究,旨在为新疆杏精深加工制品的绿色加工提供技术支撑。该研究在分析单一无硫护色剂及其复配的护色作用的基础上,以 ΔE 值和褐变抑制率为响应值,利用响应面法优化了减压护色工艺。结果表明,复合无硫护色剂的护色效果显著优于单一无硫护色剂,在压力为 30kPa 、料液比为1:2的条件下,当复合护色剂含柠檬酸 0.34% 、草酸 0.34% 、氯化钠 0.10% 、D-异抗坏血酸钠0.12%时进行减压护色,可有效抑制杏肉褐变, ΔE 值为 8.77±3.63 ,显著低于CK(8.54),低于常压护色(1.57);褐变抑制率为 (51.20±0.34)% ,比常压护色高8.03%。研究结果表明,减压技术不仅强化了复配护色剂的协同增效作用,而且有效减少了护色剂使用,提高了产品的食用安全性。
摘要:为丰富黄鱼产品的形式以及开拓健康绿色的休闲膨化零食领域,文章制备了一种非油炸黄鱼脆片。通过单因素实验对非油炸黄鱼脆片的感官评分、质构特性、色度进行分析,探究淀粉种类、淀粉添加量、海苔粉添加量、烘烤温度和烘烤时间对非油炸黄鱼脆片品质的影响,并在此基础上通过正交实验优化了制备工艺。通过正交实验设计进行优化后,得到各因素对脆度影响的大小顺序为淀粉添加量>烘烤时间 > 烘烤温度。结果表明,最优的非油炸黄鱼脆片制备工艺为以黄鱼鱼糜的质量为基准,淀粉添加量 30% 、海苔粉添加量 4% 、烘烤温度 120°C 、烘烤时间 60min ,在此工艺条件下感官评价和色泽最佳,硬度和脆度适宜,咀嚼无残渣感,口感酥脆。该研究为丰富黄鱼产品种类提供了一定的理论参考。
摘要:该研究选取植物乳酸杆菌与汉逊德巴利酵母作为发酵剂,开发了一种新型发酵型牛肉酱。通过测定其理化指标,包括 pH 值、总挥发性盐基氮(TVB-N)含量、蛋白质含量,确定最优的菌株配比。此外,采用人工接种发酵技术对牛肉酱的风味和品质进行改良,并运用响应面分析法与电子鼻技术对发酵工艺进行优化。研究结果表明,最优的菌株配比为1:1;最佳发酵剂接种量、发酵温度、发酵时间分别为1.5%、25℃、16h,此时发酵型牛肉酱口感细腻、风味独特、酱体较均匀,产品的理化指标、微生物指标均符合国家标准。
摘要:香菇耗牛肉麻辣酱作为一款多元化的调味品,不仅能够有效提升食欲,而且具备延缓衰老和强化免疫力的显著效果。相较于传统的香菇牛肉酱,该研究创新性地选用富含氨基酸、胡萝卜素、钙、磷等多种微量元素且低脂高蛋白的耗牛肉作为主要原料之一,与干香菇共同打造出独特的口感与风味。为研制出最佳口味的香菇耗牛肉麻辣酱,采用单因素试验深入探索了干香菇与卤耗牛肉的配比、七星椒与灯笼椒的配比、花椒精油与豆瓣酱的添加量以及卤牦牛肉丁和香菇丁的炒制时间等关键因素。通过主成分分析发现,七星椒与灯笼椒的配比、花椒精油添加量、豆瓣酱添加量对于塑造这款酱料的风味起到至关重要的作用。为进一步优化这些核心因素,进行了响应面优化分析,得出了最佳的配比方案:七星椒与灯笼椒的配比为 6.5:3.5 ,豆瓣酱添加量为 8.6g ,花椒精油添加量为 0.22g 。同时确定了干香菇与卤牦牛肉的最佳配比为 7:3 ,卤牦牛肉丁的炒制时间为 9min ,香菇丁的炒制时间为 16min 。在此最佳配比下,香菇牦牛肉麻辣酱的感官评分达到最高,酱料质地均匀,麻辣鲜香,菇香四溢,口感绝佳,为消费者带来了全新的味蕾体验。
摘要:为了更好地利用小黄鱼的丰富资源,开发以小黄鱼为主的预制菜,以小黄鱼为主要原料,以感官评分为指标,在单因素试验的基础上,采用模糊数学评价法对红烧小黄鱼预制菜的配方进行优化。结果表明,红烧小黄鱼预制菜的最佳配方为生抽添加量 6% 、料酒添加量 18% 、白糖添加量 3% 、食盐添加量 0.6% 。在此配方下,红烧小黄鱼预制菜的感官评分最高,色泽鲜亮,味道鲜香,口感细腻,具有浓厚的小黄鱼鲜香味。
摘要;通过低盐固态发酵机理的阐述,分析了影响酱油色、香、味、体形成的因素,提供了提高低盐固态发酵酱油质量的工艺参数和设备的选择。通过对低盐发酵工艺异常现象进行深入分析,提出了改进工艺的方法,为提高低盐固态发酵质量的途径提供了新的措施和方法。
摘要:以杏鲍菇、蟹味菇为主要原料,黄豆酱、食用油、食盐等为辅料研制一种用于预拌土豆粉的菌菇酱。先通过单因素试验探究蟹味菇、黄豆酱、食用油和食盐的用量对菌菇酱感官品质的影响,再采用模糊数学感官评价结合Box-Behnken响应面试验确定菌菇酱的最优配方,最后测定菌菇酱的理化和微生物指标并初步探索该菌菇酱在拌土豆粉中的应用效果。结果表明,以 100g 菌菇总重为基准,当蟹味菇、黄豆酱、食用油和食盐的用量分别为菌菇总重的 40.5%.70%.46.6%.1.5% 时感官品质最好。此工艺条件下,菌菇酱的感官评分为89.3分,酸价、过氧化值、亚硝酸盐含量和固形物含量分别为 1.84mg/g.0.11mg/g. 2.23mg/kg.68.24% ,菌落总数为 270CFU/g ,大肠菌群未检出,均符合产品标准。将该菌菇酱用于预拌土豆粉中, 60min 后土豆粉仍能保持较好的质构品质。
摘要:实验以青花椒为主要原料,采用水蒸气蒸馏萃取法测定了乳化剂和常见助乳化剂的最适比例,最后测定了乳化后花椒挥发油的稳定性数据。结果表明,通过对实验数据进行分析和整理,可以发现花椒挥发油含量为 37.5% 左右、无水乙醇和吐温-80的比例为4:6左右乳化效果最好,在该比例下能形成乳化效果良好的自乳化剂。该研究旨在通过实验探索花椒挥发油加工过程中的稳定技术,为提高产品的稳定性提供理论支持,对于花椒的进一步开发和利用具有科学价值和社会效益,同时表明稳定技术将是实现该目标的关键因素。
摘要:为提升小龙虾副产物多肽制备的酶解效率,以小龙虾虾头和虾壳为原料,通过酶解制备多肽。采用单因素试验结合响应面法对工艺条件进行优化,以评估酶解时间、酶配比和料液比3个因素对蛋白得率和蛋白水解度的影响。优化结果显示,在酶解时间 3h, 酶配比(中性蛋白酶:胰蛋白酶)为 1:1 和料液比为 5:6(50g 小龙虾冻干粉加入 60mL 纯净水)的条件下,多肽产物的蛋白得率为 76.20% ,蛋白水解度为19.75% ,抗氧化活性为10.76mmolTrolox/L。该研究结果可为小龙虾副产物的高值化利用提供技术参考。
摘要:以豆渣为原料,优化豆渣发酵工艺,采用单因素试验结合响应面法、人工神经网络-遗传算法,探究发酵菌种、发酵时间、发酵温度、底物浓度对发酵产物蛋白质含量、pH值、水溶性膳食纤维含量的影响。结果显示,利用酵母菌发酵效果最佳,其他各因素的最佳水平组合经不同方法优化后有所差异。经对比,人工神经网络-遗传算法优化工艺在发酵产物理化指标上更优,最优工艺为发酵时间47h、发酵温度33℃、底物浓度23%。该研究为豆渣发酵工程提供了理论与实践支撑,助力食品行业可持续发展。
摘要:为优化黄豆制备呈味肽的酶解工艺,该研究以黄豆为原料,从4种酶(木瓜蛋白酶、中性蛋白酶、碱性蛋白酶和风味蛋白酶)中筛选出水解度最高的蛋白酶。结果表明,风味蛋白酶的水解度极显著高于其他3种蛋白酶。酶解条件的单因素实验结果表明酶解时间为4h时的水解度极显著高于其他4组的水解度;初始 pH 值为7时的水解度极显著高于其他4组的水解度;酶解温度为 55°C 时的水解度极显著高于其他4组的水解度。响应面设计结果表明,单因素酶解时间、初始pH值、酶解温度对浓厚味感均具有极显著影响( P<0.01 ;酶解时间与酶解温度、初始pH值与酶解温度的交互作用对酶解产物的浓厚味感具有显著影响( ?P<0. 05 )。回归分析得到最佳酶解条件为酶解时间 4.2h 、初始pH值7.2、酶解温度 56.4°C ,此时感官评分为9.28分。该研究为黄豆制备呈味肽的工艺优化提供了理论依据。
摘要:为开发香菇酱新产品,在香菇酱制作过程中添加黑蒜,制作黑蒜风味香菇酱。利用响应面法优化黑蒜香菇酱的发酵工艺,以模糊数学感官评价法评价黑蒜与香菇的质量比、白糖添加量和花椒粉添加量对黑蒜香菇酱蛋白质含量、总糖含量、脂肪含量、感官评分的影响。结果表明,以模糊数学法进行二次拟合和回归分析可客观综合评价黑蒜香菇酱的感官评分。黑蒜与香菇的质量比为1:2、白糖添加量为3%、花椒粉添加量为3%时,黑蒜香菇酱的品质最佳,其感官评分可达49.2分,蛋白质含量为(6.65±0.12)%,总糖含量为(14.25±0.24)%,脂肪含量为(41.20±0.25)%,香菇酱整体颜色清亮,质地均匀,具有浓郁的香菇和黑蒜香气,气味协调,鲜味十足。
摘要:为探究柠檬醋之间风味化合物的差异,对3个不同品牌的柠檬醋进行研究,评价了其总酸、总糖、挥发性化合物等的含量。经研究发现,品牌B的总糖含量、总酸含量、亮度值 (L? 值)最大,分别为 113.5mg/mL 、1.6mg/mL 和99.46;品牌A的红度值 (a? 值)黄度值 b* 值)最高;采用气相色谱-离子迁移谱在3种柠檬醋中共检测出67种挥发性化合物,包括酯类14种、酸类5种、醇类10种、酮类7种、醛类8种、杂环类9种、烯类11种、苯类3种;其中,顺-2-辛烯、1-辛烯、异戊醇、正丁酸是含量最大的挥发性化合物,正戊酸、正丁酸、正戊醇是品牌A、B独有的挥发性化合物;丁醛、糠醛、丁酸乙酯是品牌C独有的挥发性化合物。PCA表明气相色谱-离子迁移谱可以很好地区分3个不同品牌的柠檬醋;通过OPLS-DA对VIP值 >1 的物质进行筛选,确定23种差异挥发性化合物。
摘要:葡萄果醋由葡萄汁通过发酵和醋化而成,是一种古老而受欢迎的食品,具有促进消化、调控血糖、抗氧化和维护肠道平衡的功效。香气成分是葡萄果醋品牌重要的一部分,被用于鉴别不同品牌之间的差异。该研究通过GC-MS法对葡萄果醋中的香气成分进行了分析,深入研究了葡萄果醋中的香气成分,为开发独特的葡萄果醋产品奠定了基础。通过研究葡萄果醋中的香气成分以深入了解葡萄果醋,从而在葡萄果醋生产、品牌建设和市场竞争中取得优势,推动葡萄果醋行业发展,并为消费者提供更丰富和多样化的选择。
摘要:柚叶、橘叶和茉莉花具有一定抗氧化能力,其主要有效成分为黄酮类、萜类、挥发油和酚类化合物等。考虑柚叶、橘叶和茉莉花均具有抗氧化作用,该研究以苯丙氨酸、肌酐为前体物质,采用最佳摩尔比0.6 mmol:0.6mmol(1:1),将茉莉花-柚叶、茉莉花-橘叶、柚叶-橘叶、茉莉花-柚叶-橘叶4组混合提取物分别加入PhIP化学模型反应体系中,研究不同添加量下的混合提取物组合对PhIP形成的抑制作用,在此基础上讨论4组混合提取物对PhIP形成的抑制效果。研究结果表明,4组混合提取物均对PhIP 的形成有明显抑制作用,其抑制作用大小顺序为茉莉花-柚叶混合提取物>茉莉花-柚叶-橘叶混合提取物>茉莉花-橘叶混合提取物>柚叶-橘叶混合提取物,抑制效果最佳的组合为茉莉花-柚叶混合提取物,最佳抑制率高达88.86%。该研究结果可为开发具有茉莉花、柚叶风味的功能性调味品提供新的思路。
摘要:以乳清蛋白、阿拉伯树胶、大豆蛋白及其混合物为壁材包埋桑甚果渣花青素,探究不同壁材对花青素提取物微胶囊化的影响。对微胶囊进行分析,包括理化性质、扫描电子显微镜、傅里叶变换红外光谱、储藏稳定性、体外抗氧化活性。实验结果表明,所有微胶囊化的花青素包埋率为 76.43%~94.92% ,花青素、总酚的含量分别为 100.19~200.12mg/100g,165.04~199.03mg/g ,平均粒径为 40.72~71.71μm 扫描电子显微镜下所有微胶囊呈现破碎玻璃状。傅里叶变换红外光谱分析表明,壁材与多酚之间存在氢键作用。 4°C 更有利于微胶囊的储存,以乳清蛋白为壁材形成的微胶囊在储藏60d后的花青素损失量较少 (21.48% )、颜色变化较小( ΔE 为1.75)。当花青素含量为 4.5μg/mL 时,以乳清蛋白为壁材形成的微胶囊的DPPH自由基清除率为 97.07% 。
摘要:摄入过多的钠盐会引发诸多健康问题,随着人们健康饮食观念的不断提升,限制产品中的盐含量已成为食品行业未来发展的必然趋势。然而,盐含量对鱼糜制品的持水性、凝胶性能、质构性能至关重要。减少鱼糜制品中的盐含量会导致凝胶性能、贮藏性能、感官特性的劣化,在保障产品原有品质的前提下减少盐含量是开发低盐鱼糜的主要挑战。通过概述减盐的必要性及盐在鱼糜凝胶化过程中的作用,文章总结了外源添加物、新型加工技术在改善低盐鱼糜凝胶性能方面的最新研究进展,并指出鱼糜制品减盐加工过程中所存在的问题,以期为开发高品质的低盐鱼糜制品提供理论指导。
摘要:泡菜是我国传统的发酵制品,因其具有风味独特、解腻开胃和营养丰富的特点深受消费者的青睐。微生物的生长代谢对泡菜风味物质的形成具有重要意义。随着发酵时间的延长,微生物种类和数量发生改变,而原辅料、生产工艺和发酵条件等因素对群落结构演替规律产生影响。文章剖析了不同原辅料、生产工艺和发酵条件下泡菜微生物群落结构的组成;从发酵前期、中期和后期3个发酵阶段的变化解析了微生物群落结构的演替规律,尤其是乳酸菌、酵母菌和醋酸菌在其中发挥着重要作用,并参与泡菜产品风味物质的形成;分析总结了微生物群落结构的演替规律和风味物质之间的关联性,微生物通过碳水化合物代谢、脂肪酸代谢、氨基酸代谢、酒精发酵和醋酸发酵等途径产生醇类、醛类、酸类、酯类等挥发性风味物质和氨基酸、有机酸等非挥发性风味物质,赋予泡菜独特的风味,为生产优质泡菜提供了依据。
摘要:果醋作为广受欢迎的调味品与发酵饮品,富含多种抗氧化物,其天然抗氧化物主要来源于原料本身含有的活性物质以及发酵过程中代谢产物的积累。文章系统梳理了不同原料果醋中天然抗氧化物的基本特征,其中酚类、黄酮类等主要抗氧化物的含量和活性在各种果醋间存在明显差异。同时,探讨了果醋及其天然抗氧化物的多种健康功能,以期推动果醋中天然抗氧化物的科学认知与进一步应用,为相关研究的深入以及功能食品的开发提供借鉴。
摘要:随着人们生活水平的提升,食品的真实性问题引起广泛关注。作为日常饮食的重要组成部分,调味品和香精香料的真实性不仅关系着消费者的健康,而且在构建食品可追溯体系方面发挥着重要作用。同位素质谱技术具有高分辨率、灵敏度和准确度,是食品真实性研究中的有力工具。文章综述了近年来同位素质谱技术在常见调味品和香精香料真实性研究中的进展,并展望了发展趋势,以期为调味品和香精香料真实性研究提供参考,促进食品可追溯体系健康发展。